• Предмет: Математика
  • Автор: Аноним
  • Вопрос задан 3 года назад

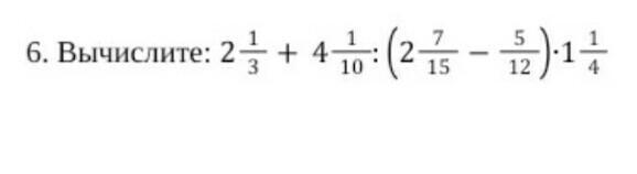
6. Вычислите срочно помогите​

Приложения:

Ответы

Ответ дал: xxxxxxxxxxx40
1
Вот думаю как то так если что то не понятно спрашивайте в комментариях
Приложения:

Аноним: спасибооо лучший от души
Вас заинтересует