• Предмет: Геометрия
  • Автор: Аноним
  • Вопрос задан 3 года назад

УМОЛЯЮ ПОМОГИТЕ! ДАЮ 30 БАЛЛОВ!!!
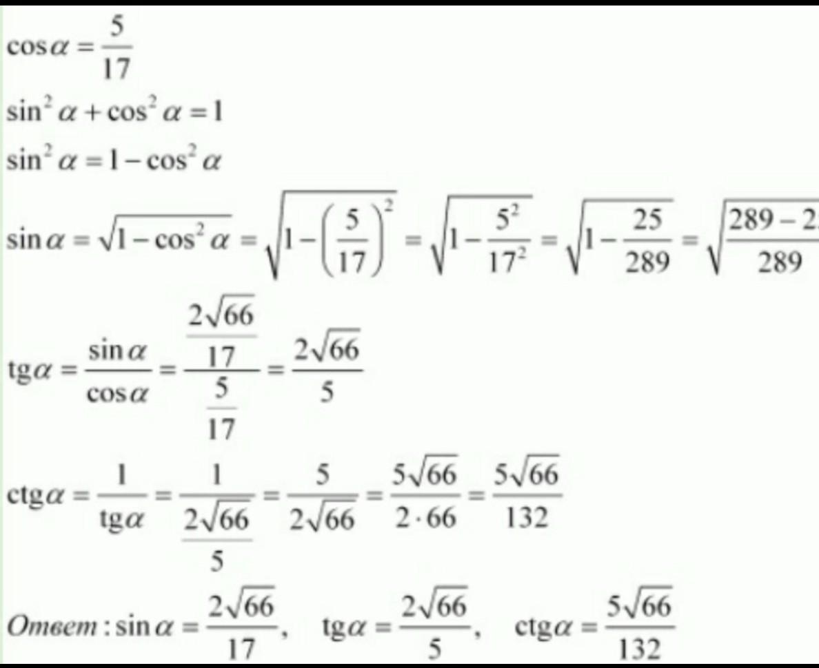
найдите sina, tga, ctga если cos= 5/17​

Ответы

Ответ дал: omeh28
5

Ответ:

ответ на фото

надеюсь понятно;)

Приложения:

Аноним: умоляю помогите
Аноним: ответьте пожалуйста на мой пред последний вопрос
Аноним: упростите выражение 1-sin^2a/cos^2-cos^2a​
omeh28: на него уже кто то ответил)
Вас заинтересует