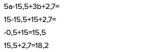
3. Упростите выражение 3(a – 7,1) + 6(b+0,9) и найдите его значение при a=3, b=5. срочно помогите даю 15 баллов
Ответы
Ответ дал:
1
Ответ:
вот ответ...............
Приложения:

shellfire040509:
спасибо
Вас заинтересует
2 года назад
2 года назад
2 года назад
2 года назад
7 лет назад
7 лет назад
9 лет назад