• Предмет: Алгебра
  • Автор: VIPPRO333
  • Вопрос задан 3 года назад

Пж помагите алгебра​

Приложения:

Ответы

Ответ дал: osaule987
1

Ответ:

пхотомачта сфоткай и все в чем проблема?

Ответ дал: Potatosenior
1

Ответ:

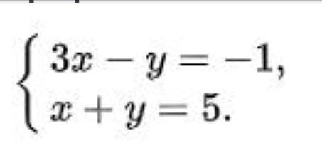
Системы уравнений мы решаем с помощью сложения или замены переменной через другую. В нашем случае лучше использовать сложение, так как y взаимно уничтожаются.

{3x - y = -1

{x + y = 5 ( Складываем две части системы )

4x + y - y = 4

4x = 4

X = 1

Подставляем значение x в любую часть системы.

1 + у = 5

Y = 4

Ответ: X = 1; Y = 4

Вас заинтересует