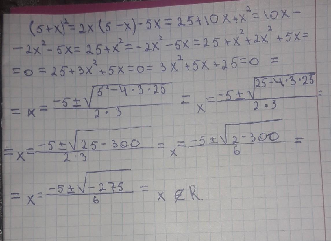
(5+х)²=2х(5-х)-5х
помогите пожалуйста
нужно указать старший коэффициент, 2 коэффициент и свободный член....
Ответы
Ответ дал:
1
Ответ:
Старший коэффициент(a)=3
2 коэффициент(b)=5
свободный член(c)=25
Объяснение:
(5+х)²=2х(5-х)-5х
25+10x+=10x-2
-5x
3+5x+25=0
Решать это уравнение не имеет смысла так как в задание не указано,что надо его решить.
aminasakalova:
спасибки
Ответ дал:
1
ответ:x €зачеркнутая R
Приложения:

Вас заинтересует
2 года назад
2 года назад
2 года назад
2 года назад
7 лет назад
7 лет назад