• Предмет: Математика
  • Автор: Аноним
  • Вопрос задан 3 года назад

хэлп .. 100 баллов..

Приложения:

Ответы

Ответ дал: silviLoxas
0
Photomatch может быть поможет
Ответ дал: Svetilo12
0

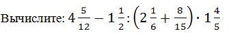
Ответ:

3 5/12

Пошаговое объяснение:

1) 2 1/6+8/15=13/6+8/15=65/30+16/30=81/30=2 7/10

2) 1 1/2:2 7/10=3/2:27/10=3*10/2*27=30/54=10/18=5/9

3) 5/9*1 4/5=5/9*9/5(СОКРАЩАЕМ ЭТО ВСЁ)=1 /1=1

4) 4 5/12-1=3 5/12

Вас заинтересует