• Предмет: Математика
  • Автор: daniyriabsh
  • Вопрос задан 3 года назад

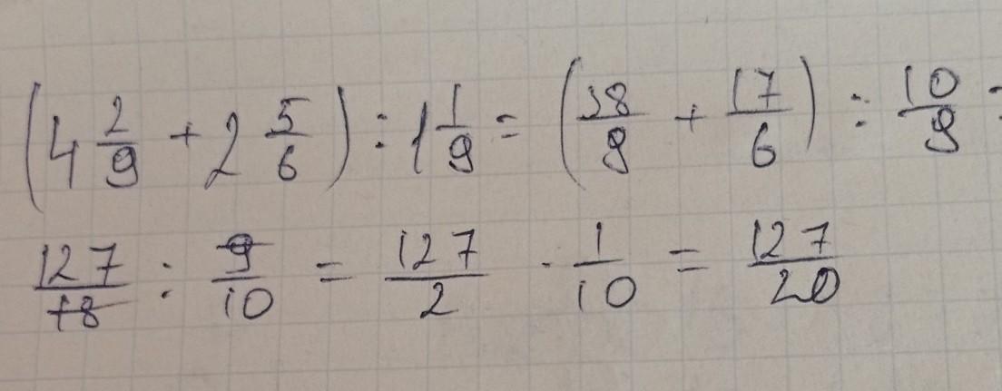
Плиз помогите решить
(4целых2/9+2целых5/6)÷1целую1/9

Ответы

Ответ дал: azUm1
0

Ответ:

на фото

Пошаговое объяснение:

надеюсь понятно

Приложения:
Вас заинтересует