• Предмет: Математика
  • Автор: bnkhamit7
  • Вопрос задан 3 года назад

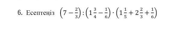
(7-2/3)÷(1 3/4-1/6)×(1 1/5+2 2/3 +1/6)​

Приложения:

Ответы

Ответ дал: mealywar
1

Ответ:

16 2/15

Пошаговое объяснение:

19/3÷(7/4-1/6)×(6/5+8/3+1/6)

19/3÷19/12×121/30

19/3×12/19×121/30

4×121/30

2×121/15

Ответ: 242/15=16 2/15

Вас заинтересует