• Предмет: Алгебра
  • Автор: Аноним
  • Вопрос задан 3 года назад

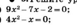
алгебра 8 класс помогите уравнение ​

Приложения:

Аноним: может нормально обиснит

Ответы

Ответ дал: disadikovaa7
0

Ответ:

1)х =-2

1 ---- , х =1

9 2

2)х =0, х = 1

1 2 ----

4

Объяснение:

там короче

1)Х первых ровно минус два девятых (дроби), Х вторых ровно 1

2)Х первый ровно ноль целых Х вторых ровно одна целая 4

Вас заинтересует