• Предмет: Математика
  • Автор: ami579
  • Вопрос задан 3 года назад

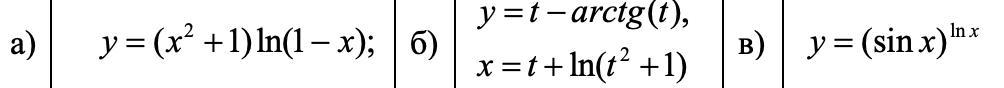
Найти производные первого порядка для заданных функций.

Приложения:

Ответы

Ответ дал: Miroslava227
0

Ответ:

а)

y '= 2x ln(1 - x)  +  \frac{1}{1 - x}  \times ( - 1) \times ( {x}^{2}  + 1) =  \\  = 2x ln(1 - x)  -  \frac{ {x}^{2}  + 1}{1 - x}

б)

формула:

y'x =  \frac{y't}{x't}  \\

y't = 1 -  \frac{1}{1 +  {t}^{2} }  \\

x't = 1 +  \frac{1}{1 +  {t}^{2} }  \times 2t \\

y'x =  \frac{1 -  \frac{1}{1 +  {t}^{2} } }{1 +  \frac{2t}{1 +  {t}^{2} } }  =   \frac{1 +  {t}^{2}  - 1}{1 +  {t}^{2} }  \times  \frac{1 +  {t}^{2} }{1 +  {t}^{2}  + 2t}  =  \\  =  \frac{ {t}^{2} }{ {t}^{2}  + 2t + 1}  =  \frac{ {t}^{2} }{ {(t + 1)}^{2} }

3)

формула:

y' = ( ln(y))'  \times y

( ln(y))'  = ( ln( { \sin(x) }^{ ln( x) } ) )' = ( ln(x)  \times   ln( \sin(x) ) )'  =  \\  =  \frac{1}{x}  \times  ln( \sin(x) )  +  \frac{1}{ \sin(x) }  \times  \cos(x)  \times  ln(x)

y' =  { \sin(x) }^{ ln(x) }  \times ( \frac{ ln( \sin(x) ) }{x}   +  ln(x)  \times ctgx) \\

Вас заинтересует