• Предмет: Математика
  • Автор: sinkorevdima
  • Вопрос задан 3 года назад

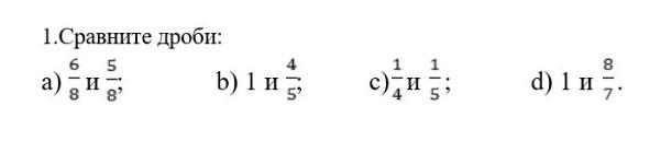
сравните дроби пж соч ​

Приложения:

Ответы

Ответ дал: tomiriszazykbaeva
0

Ответ:

а) 6/8

б) 1

с)1/4

д)8/7

Пошаговое объяснение:

вроде так


dark24022000: д не правильно
tomiriszazykbaeva: простите я тупой
Ответ дал: dark24022000
0

Ответ:

а)> б)> в)> д) <

Все очень просто я писать цифры не стал

Вас заинтересует