• Предмет: Математика
  • Автор: amantorova
  • Вопрос задан 3 года назад

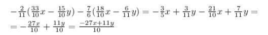
-2\11(3,3x-1,5y)-1 2/6(18y-6/11y)=

помогите пожалуйста

Ответы

Ответ дал: valdiston
1

Ответ:

Пошаговое объяснение:

Приложения:
Вас заинтересует