• Предмет: Математика
  • Автор: danilisakov0202
  • Вопрос задан 3 года назад

Сравните дроби:
І I
10
и
и | С
и
mia
1 и 2 и 1
13
13”​

Приложения:

Ответы

Ответ дал: irina555556
0

на фото...... ........

Приложения:
Ответ дал: dianadimir6
0

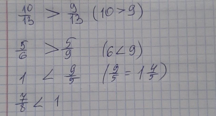
Ответ:

10/13>9/13;

5/6<5/9

1<9/5

7/8<1

Вас заинтересует