• Предмет: Математика
  • Автор: Аноним
  • Вопрос задан 3 года назад

привет поможешь?
только это Соч не подведи
(P.s тех кто хочет просто баллы баню)​

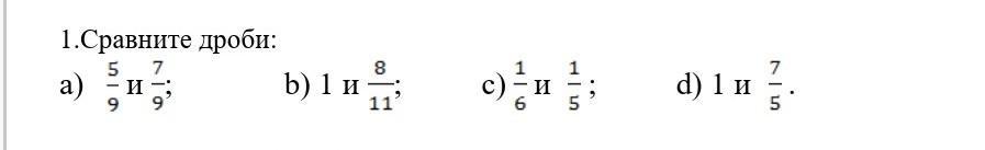
Приложения:

yelizavetashpanagel: тут надо типо какой больше какой меняше да??
mariarsakan9: ДА

Ответы

Ответ дал: golyshev7707
1

Ответ:

a) < , т.к. ну знаменатель один, а во втором числитель больше, это тоже самое что если бы мы 2 делили на 7 и 4 делили на 7, конечно второе будет больше

б) > , т.к. еденица всегда больше дробь без целой части

в) <, т.к. приводим к общему знаменатилю первое умножаем на 5, а второе на 6. Получаются дроби 5/30 и 6/30. Смотрим на первое объяснение и видим что вторая дробь больше

г) >, т.к. еденица всегда больше дробь без целой части


Аноним: это правильно?
golyshev7707: Да
golyshev7707: Я в 7 классе, а это начало САМОЕ начало 5 класса
Аноним: можешь еще написать так как -вот это болбше этого и т.д?
golyshev7707: Написал
Аноним: спасибо
Ответ дал: mariarsakan9
0

1) <                 2) >       3) <         4)   >


Аноним: это правильно?
mariarsakan9: ДА
mariarsakan9: 5 КЛАСС ТЫ ЧЁ
mariarsakan9: Я КОТОРАЯ В 6
golyshev7707: Ты нормальный как может быть 1 меньше дроби в 4 и как в 3 1/5 меньше??
mariarsakan9: У ТЕБЯ ТОЖЕ САМОЕ
golyshev7707: Мдаа... изменила
Вас заинтересует