Помогите пожалуйста решить. Нужно именно решение, поэтапно, хотя бы примерно. В конце должно получиться число 3
Приложения:

Simba2017:
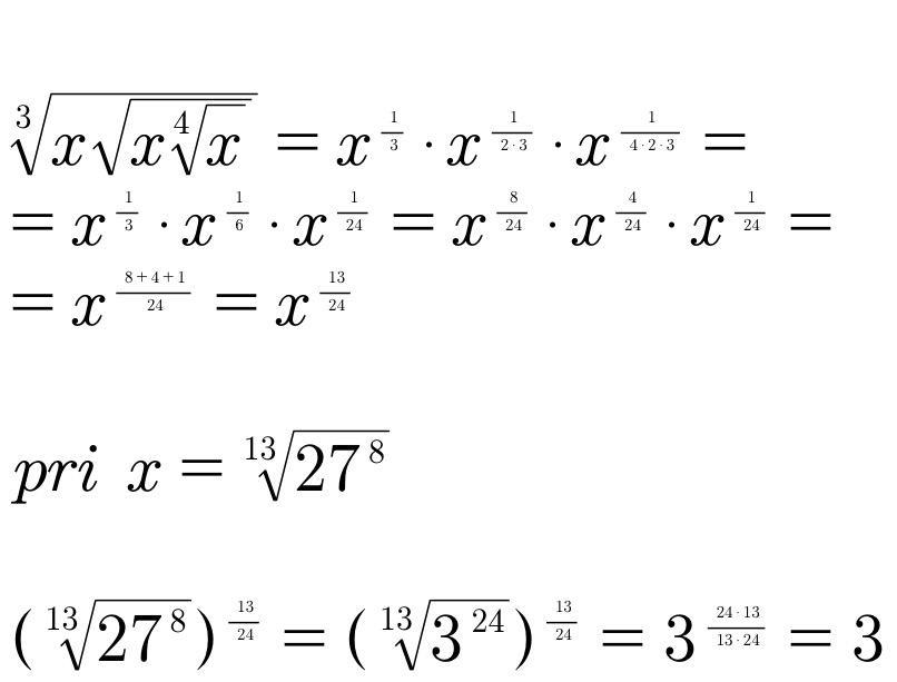
x^(1/4*1/2*1/3)=x^(1/24)
Ответы
Ответ дал:
3
Ответ:
3
Объяснение:
............................
Приложения:

Ответ дал:
1
в левой части
((x^(1/4)*x)^(1/2)*x)^(1/3)=((x^(5/4*(1/2)+1))^(1/3)=(x^(13/8))^(1/3)=x^(13/24)
в правой
x=(3^(3*8))^(1/13)=3^(24/13)
при подстановке х в левую часть
(3^(13/24))^(24/13)=3^1=3
Вас заинтересует
2 года назад
2 года назад
2 года назад
2 года назад
7 лет назад
9 лет назад