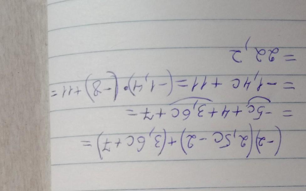
5.Раскройте скобки, упростите выражение и вычислите его значение:
-2 ∙ ( 2,5с - 2) + (3,6с +7) при с= -8
ДАЮ 18БАЛЛОВ
Ответы
Ответ дал:
1
Пошаговое объяснение:
ответ на фотографии...
Приложения:

Аноним:
СПС ОТДУШИ
Вас заинтересует
2 года назад
2 года назад
2 года назад
7 лет назад
9 лет назад