• Предмет: Математика
  • Автор: markusyrs
  • Вопрос задан 3 года назад

Помогите пожалуйста диф ур-я прошу!!

Приложения:

Ответы

Ответ дал: Miroslava227
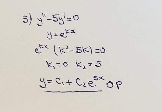
1

Ответ:

решение на фотографиях

Приложения:

markusyrs: Спасибо огромное!! Здоровья вам и всего самого лучшего!!!! Спасибо!!
Вас заинтересует