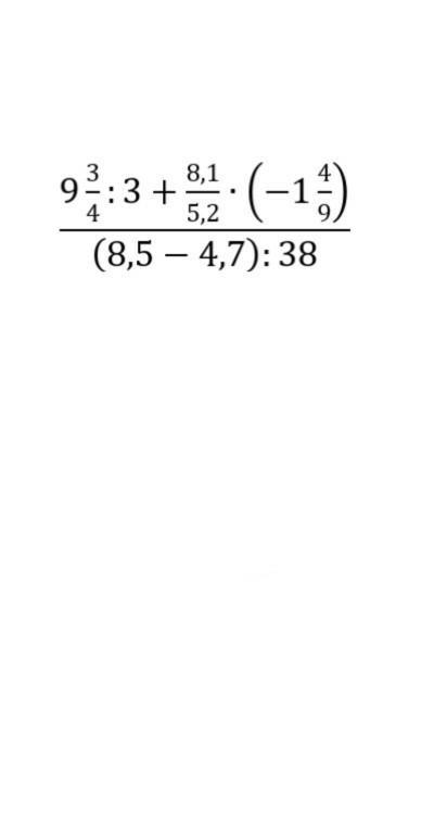
найдите значение выражения ПОЖАЛУЙСТА ПОМОГИТЕ
Приложения:

Аноним:
с решением или просто ответ?
Ответы
Ответ дал:
1
.............................
Приложения:

Ответ дал:
0
Пошаговое объяснение:
Надеюсь помогла.......
Приложения:

Вас заинтересует
2 года назад
2 года назад
2 года назад
7 лет назад
7 лет назад