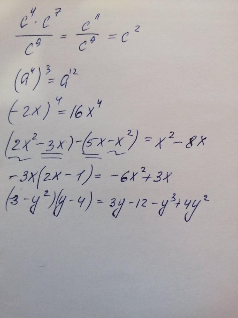
1. Упростить выражение:
а) с4∙ с7 : с9 б) ( а4)3 ∙ а в) ( -2х)4
2. Выполнить действия:
а) (2х2 – 3х) – (5х – х2) б) – 3х(2х – 1)
в) (3 – у2)(у – 4)
Ответы
Ответ дал:
0
Ответ:
Задай вопросы, если непонятно
Объяснение:
Приложения:

Вас заинтересует
2 года назад
2 года назад
2 года назад
7 лет назад
7 лет назад
9 лет назад