• Предмет: Математика
  • Автор: elizavetae025
  • Вопрос задан 3 года назад

Срочно с подробным решением дам 30 баллов

Приложения:

Ответы

Ответ дал: Ch1raqq
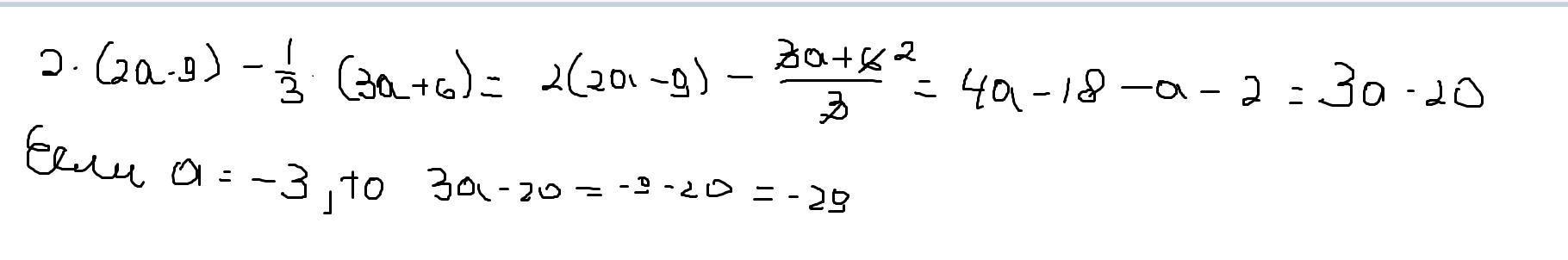
1

Ответ:

-29

Пошаговое объяснение:

Приложения:
Вас заинтересует