• Предмет: Математика
  • Автор: Аноним
  • Вопрос задан 3 года назад

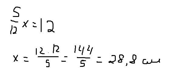
Найди длину отрезка 5/12 его составляет 12 см

Ответы

Ответ дал: Ch1raqq
1

Ответ:

28.8см

Пошаговое объяснение:

Приложения:
Вас заинтересует