• Предмет: Математика
  • Автор: gulzhanatkasymova
  • Вопрос задан 3 года назад

Можете помочь. Срочно.
Ыспасыба.

Приложения:

Ответы

Ответ дал: urmantsevaanastasiya
1

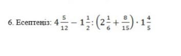
Ответ:

 \frac{143}{36}

Или

3\frac{35}{36}

Вас заинтересует