• Предмет: Математика
  • Автор: nurajymturlbaeva
  • Вопрос задан 3 года назад

помогите даю 10 баллов помогите ​

Приложения:

Jennie7557: Там есть [4] это что такое?

Ответы

Ответ дал: Jennie7557
0

Ответ:

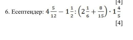
4 5/12-1 1/2:(2 1/6+8/15)*1 4/5=3 305/444

Вас заинтересует