• Предмет: Математика
  • Автор: aaxmmedov
  • Вопрос задан 3 года назад

Помогите пожалуйста задание прикрепил ниже!!!даю 30 баллов

Приложения:

Ответы

Ответ дал: Moki1234
2

Ответ:

а)x=3,875

в)x=1,2

Пошаговое объяснение:

а)7/(2x+1)=4/5

(2x+1)*4=7*5

8x+4=35

8x=35-4

8x=31

x=3,875

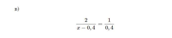
в)2/(x-0,4)=1/0,4

(x-0,4)*1=2*0,4

x-0,4=0,8

x=0,8+0,4

x=1,2

Вас заинтересует