Ответы
Ответ дал:
1
Ответ:
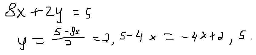
y=-4x+2,5
Пошаговое объяснение:
Приложения:

Вас заинтересует
2 года назад
2 года назад
2 года назад
7 лет назад
7 лет назад
9 лет назад