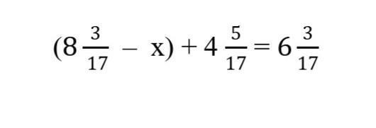
Решите уравнение:. (8 3/17 – х) + 4 5/17 = 6 3/17
Приложения:

Аноним:
Понимаю
Ответы
Ответ дал:
0
Ответ и решение на фотографии:
Приложения:

Вас заинтересует
2 года назад
2 года назад
2 года назад
7 лет назад
9 лет назад