• Предмет: Алгебра
  • Автор: Miа16
  • Вопрос задан 3 года назад

Алгебра.................

Приложения:

Ответы

Ответ дал: Miroslava227
1

Ответ:

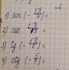
1) \sin( -  \frac{3\pi}{4} )  =  -  \frac{ \sqrt{2} }{2}

2) \cos( \frac{2\pi}{3} )   =  -  \frac{1}{2}

3)tg( -  \frac{5\pi}{6} ) =  \frac{ \sqrt{3} }{3}

4)ctg( -  \frac{5\pi}{4} ) =  - 1


Miа16: Спасибо большое)))
Ответ дал: MatemaT123
1

Ответ:

-\frac{\sqrt{2}}{2}; \quad -\frac{1}{2}; \quad \frac{\sqrt{3}}{3}; \quad -1;

Объяснение:

sin(-\frac{3\pi}{4})=-sin(\frac{3\pi}{4})=-sin(\pi-\frac{\pi}{4})=-sin\frac{\pi}{4}=-\frac{\sqrt{2}}{2};

cos(\frac{2\pi}{3})=cos(\pi-\frac{\pi}{3})=-cos\frac{\pi}{3}=-\frac{1}{2};

tg(-\frac{5\pi}{6})=-tg(\frac{5\pi}{6})=-tg(\pi-\frac{\pi}{6})=-(-tg\frac{\pi}{6})=tg\frac{\pi}{6}=\frac{\sqrt{3}}{3};

ctg(-\frac{5\pi}{4})=-ctg(\frac{5\pi}{4})=-ctg(\pi+\frac{\pi}{4})=-ctg\frac{\pi}{4}=-1;


Miа16: Cпасибо большое))
Вас заинтересует