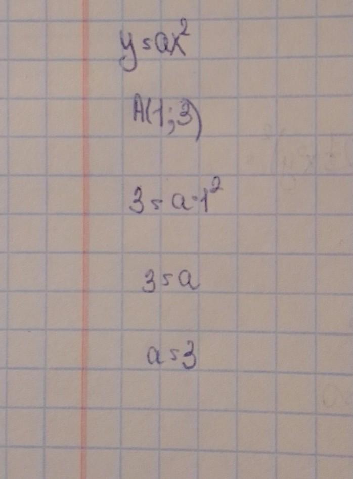
Найдите значение коэффициента a, если известно, что график функции y=ax^2 проходит через точку с координатами А(1;3)
Ответы
Ответ дал:
1
Ответ:
Думаю здесь все понятно
Приложения:

Вас заинтересует
2 года назад
2 года назад
2 года назад
7 лет назад
9 лет назад