• Предмет: Математика
  • Автор: Аноним
  • Вопрос задан 3 года назад

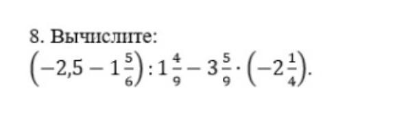
помогите пожалуйста очень прошу у меня соч дам все баллы ​

Приложения:

Ответы

Ответ дал: 61seseal
0

Ответ:

_____________получиться 164/27

Вас заинтересует