Ответы
Ответ дал:
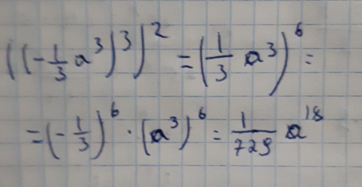
1
Пошаговое объяснение:
........... ... .....
Приложения:


Аноним:
а 2?
Вас заинтересует
2 года назад
2 года назад
2 года назад
2 года назад
7 лет назад