раскройте скобки и приведите подобные слагаемые -(3,3a - 1,2b) - (0,7b- 1,7a) + (1,1b - 5, 1 a) Про Ект Помогите пожалуйста
Ответы
Ответ дал:
1
Ответ:
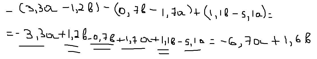
-6.7a+1.6b
Если помог, обозначьте мой ответ как лучший.
Приложения:

Ch1raqq:
ответ можно также записать как: 1.6b-6.7a
Ответ дал:
1
Ответ:
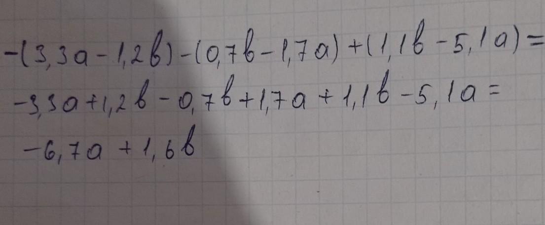
на фото
Пошаговое объяснение:
надеюсь понятно
Приложения:

Вас заинтересует
2 года назад
2 года назад
2 года назад
7 лет назад
7 лет назад
9 лет назад
9 лет назад