• Предмет: Геометрия
  • Автор: KaktoPeLllNl
  • Вопрос задан 3 года назад

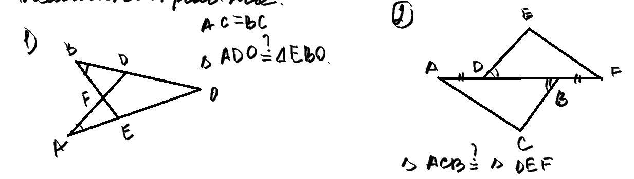
ДАЮ 50 БАЛЛОВ!!!!Нужно доказать равенство треугольников

Приложения:

Ответы

Ответ дал: ladnocum6
1

Ответ:

углы при основании равны, так же ad=be, bo=ao(вторая теорема равенства треугольников)


KaktoPeLllNl: А что со вторым?
ladnocum6: сейчас
KaktoPeLllNl: Спасибо:)
KaktoPeLllNl: Ты единственный кто ответил на 2 вопроса( я 2 раза задавал вопрос)...
ladnocum6: BC=DE, AC=EF второе свойство
KaktoPeLllNl: Пасиб
KaktoPeLllNl: Слушай а тут объяснишь нормально?
KaktoPeLllNl: https://znanija.com/task/41572381
Вас заинтересует