• Предмет: Математика
  • Автор: iprosh911
  • Вопрос задан 3 года назад

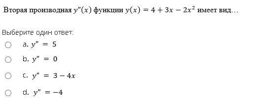
Пожалуйста помогите чем можете ! Математика тест ! 35 БАЛЛОВ , ПРОШУ ВАС ! Спасибо !

Приложения:

Ответы

Ответ дал: taniacat06
0

Ответ:

2)a

а дальше хз соррииии

Вас заинтересует