• Предмет: Алгебра
  • Автор: bakhrombakirov237
  • Вопрос задан 3 года назад

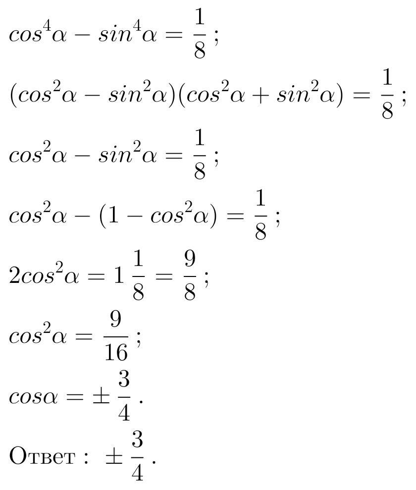
Найдите cosa, если cos^4a-sin^4a=1/8​

Ответы

Ответ дал: Kierra
37

~~~~~~~~~~~~~~~~~~~~

Приложения:
Вас заинтересует