Ответы
Ответ дал:
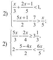
1
В первом есть ответ а во втором нет решений
Приложения:

Вас заинтересует
2 года назад
2 года назад
2 года назад
7 лет назад
7 лет назад
9 лет назад