Срочно!!Помогите решить неравенство"пожалуйста"Можно расписать подробно если вам не трудно
Приложения:

Ответы
Ответ дал:
1
Объяснение:
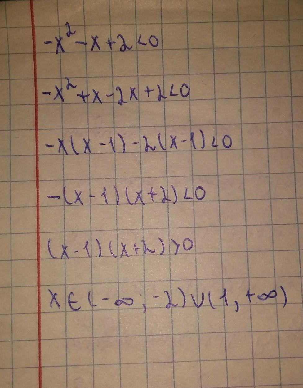
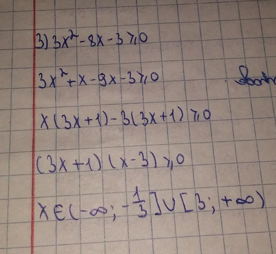
Ответ на фото........
Приложения:




Kasava1:
Это я не решала, скажу по секрету..
Вас заинтересует
2 года назад
2 года назад
2 года назад
2 года назад
7 лет назад
9 лет назад