Ответы
Ответ дал:
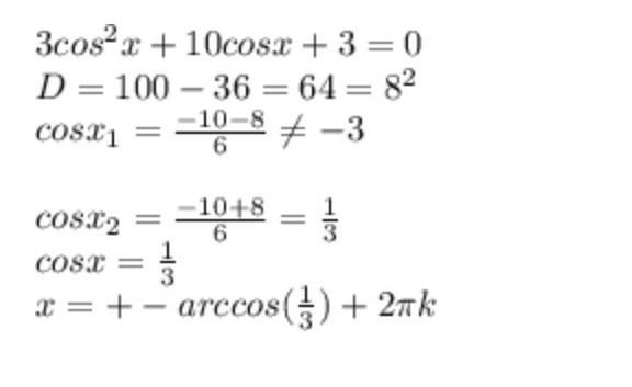
0
Ответ:
правильно но если что то не я
Объяснение:
..
Приложения:

Вас заинтересует
2 года назад
2 года назад
2 года назад
7 лет назад
7 лет назад