• Предмет: Алгебра
  • Автор: sirinovraul32
  • Вопрос задан 3 года назад

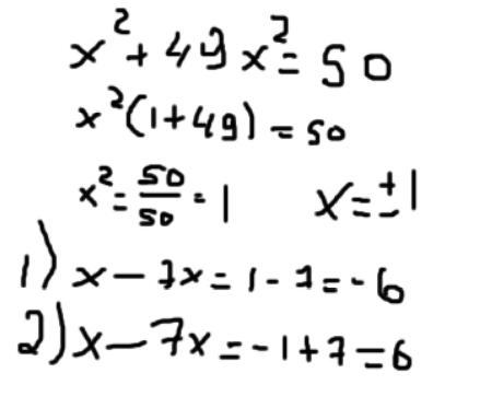
Известно что x2+ 49x2 = 50.Найдите значение выражения x - 7x•

Ответы

Ответ дал: Ch1raqq
0

Ответ:

-6 или 6.................

Объяснение:

Приложения:
Вас заинтересует