• Предмет: Алгебра
  • Автор: luckygirlll1
  • Вопрос задан 3 года назад

ДАЮ 65 БАЛЛОВ!!
Решите мне уравнение с модулями... плиз...
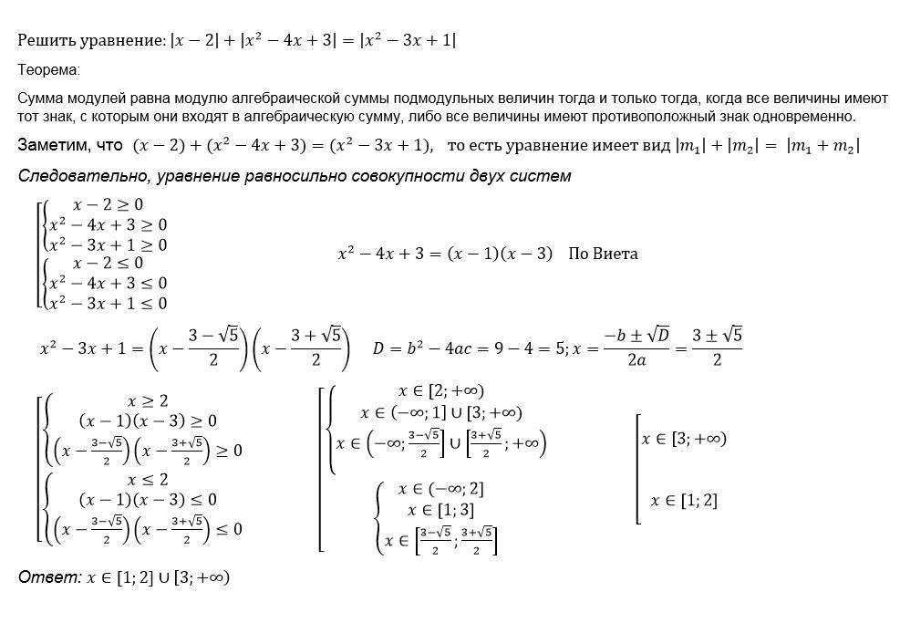
|x-2|+|x^2-4x+3|=|x^2-3x+1|

Ответы

Ответ дал: tamarabernukho
2

Ответ:

Объяснение:

.....................................................................

Приложения:
Вас заинтересует