• Предмет: Алгебра
  • Автор: andreihudalla
  • Вопрос задан 3 года назад

СРОЧНОООООО!!!!!!!
_______________________________________________

Приложения:

Ответы

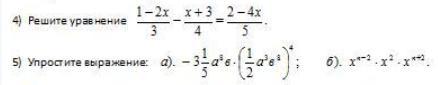
Ответ дал: katerina2697
1

Ответ:

20(1-2x)-15(x+3)=12(2-4x)

20-40x-15x-45=24-48x

7x=-49

x= -7

Объяснение:

Необходимо умножить обе части уравнения на общий знаменатель


andreihudalla: Не понятно
andreihudalla: ЭЭЭЙ
Вас заинтересует