Ответы
Ответ дал:
1
Ответ:
Пошаговое объяснение:
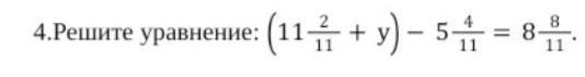
(11 2/11 +y) -5 4/11 = 8 8/11
У=8 8/11+5 4/11-11 2/11
У=2 10/11
Ответ дал:
0
Ответ:
2 10
_
11
Пошаговое объяснение:
..............
Приложения:

Вас заинтересует
2 года назад
2 года назад
2 года назад
2 года назад
7 лет назад
7 лет назад
9 лет назад