Ответы
Ответ дал:
1
Ответ:
вот
Объяснение:
Приложения:



ashakhanovramzan:
спасибо
Ответ дал:
1
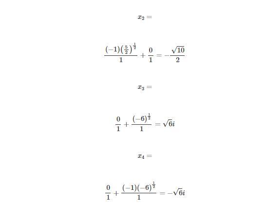
Ответ: х1=√-10
------------
2
х2=√10
---------
2
Вас заинтересует
2 года назад
2 года назад
2 года назад
2 года назад
7 лет назад
9 лет назад