• Предмет: Алгебра
  • Автор: gajava2311
  • Вопрос задан 3 года назад

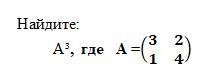
как решается подобное ?

Приложения:

Ответы

Ответ дал: olgaua64
1

Відповідь:

Пояснення:

А×А= 3 2 3 2 = 3×3+2×1. 3×2+2×4. = 11. 14

1 4 1 4. 1×3+4×1. 1×2+4×4. 7. 18

А×А×А= 11. 14. 3. 2 = 11×3+14×1. 11×2+14×4 = 47. 78

7. 18. 1. 4. 7×3+18×1. 7×2+18×4. 39. 86

Вас заинтересует