Ответы
Ответ дал:
0
Ответ:
Пошаговое объяснение:
Приложения:


Ответ дал:
0
Ответ:
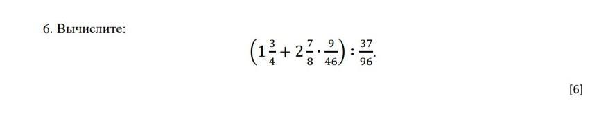
ответ 6 на фото подробное решение
Приложения:

Вас заинтересует
2 года назад
2 года назад
2 года назад
7 лет назад
7 лет назад
9 лет назад