Ответы
Ответ дал:
2
Ответ:
Вот пока на 1. а,в,д
Пошаговое объяснение:
б) 2a^2(3-2a+4a^2)=8a^4-4a^3+6a^2
г) -3x^2(0.3x-0.7)=-0.9x^3+2.1x^2
2. a) 8x - 24 = 8(x - 3)
б) 9x² - 18x + 36 = 9(x² - 2x + 4)
в) 15x + 11x² = x(15 + 11x)
г) 5x³ + 10x² - 15x = 5x(x² + 2x - 3)
3. а) 5х(х-3)
б) х(х²-2)-4(х²-2)=(х²-2)(х-4)
в)4(х-6)+3х(х-6)=(х-6)(4+3х)
г) 6(х-6)-х(х-6)=(х-6)(6-х)
Приложения:

Ответ дал:
0
Ответ:
Пошаговое объяснение:
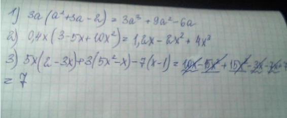
А) 3а^3+9а^2-6а
В) 1.2х-2х^2+4х^3
Д) 10х - 15х^2+ 15х^2-3х-7х+1 = 10х-3х-7х+1= 1
Б) 6а^2-4а^3+8а4
Г) -0.9х^3+2.1х^2
А) 8(×-3)
Б) 9(х^2-2х+4)
В)5х(3+2.2х)
Г) 5х(х2+2х-3)
А) 7х(2+х)
Б) х^2-4х-5х+20= х^2-9х+20
А) 5х(х-3)
Б) х^3-2х-4х^2+8
В) 4х-24+18х-3х^2= 22х-24-3х^2
Г) 6х-36+6х-х^2= 12х-36-х^2
Вас заинтересует
2 года назад
2 года назад
2 года назад
7 лет назад
7 лет назад
9 лет назад
9 лет назад