• Предмет: Математика
  • Автор: dif3ua
  • Вопрос задан 3 года назад

ПаМаГиТе ПоЖаЛуЙсТа!

Приложения:

Ответы

Ответ дал: surmo
1

Ответ:

a=b

Пошаговое объяснение:

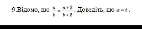
\frac{a}{b} =\frac{a+2}{b+2}\\a(b+2)=b(a+2)\\ab+2a=ab+2b\\2a=2b\\a=b

Ответ дал: dyexfnf
1

Ответ:

Пошаговое объяснение:

а/b= (a+b)/(b+2)

a(b+2)=(a+2)*b

ab+2a=ab+2b

2a=2b  скорочуємо обидві частини на 2 і маємо

a=b

Вас заинтересует