• Предмет: Алгебра
  • Автор: Аноним
  • Вопрос задан 3 года назад

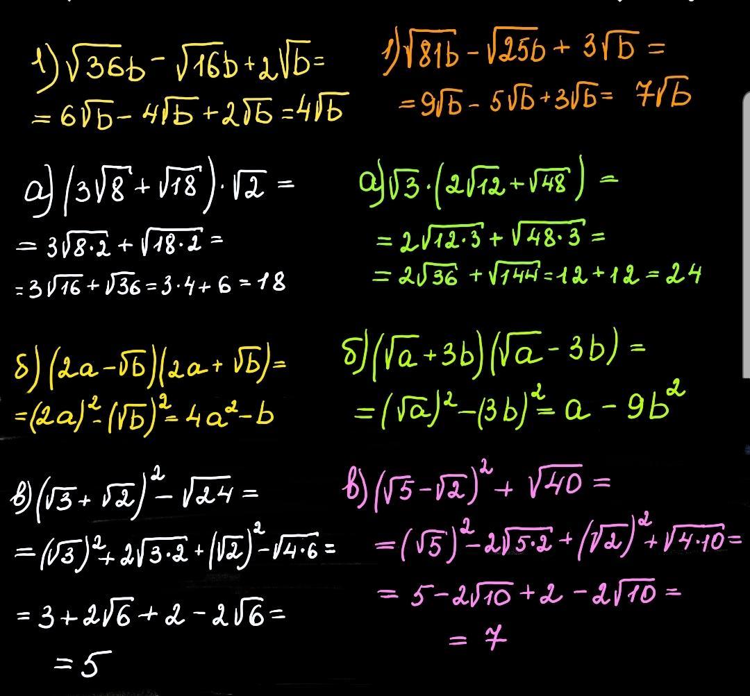
помогите, пожалуйста, срочно!!!

Приложения:

sobakazabiyaka: Какой вариант то?
Аноним: оба

Ответы

Ответ дал: sobakazabiyaka
1

Ответ прикрепил на фото ниже

Приложения:
Ответ дал: Elo4kaw
0

Ответ на прикреплённом файле

Приложения:
Вас заинтересует