• Предмет: Алгебра
  • Автор: 934ll
  • Вопрос задан 3 года назад

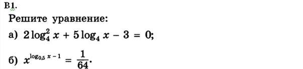
Помогите пожалуйста, решите уравнения

Приложения:

Ответы

Ответ дал: tarasabc
0

а)

log_{4}x=t\\2t^{2}  +5t-3=0\\D=25+4*2*3=49\\t_{1}=\frac{-5+7}{4}=0.5  \\t_{2}=\frac{-5-7}{4}=-3\\log_{4}x_{1} =0.5\\\\x_{1} =4^{0.5} =\sqrt{4} =2\\log_{4}x_{2} =-3\\\\x_{2} =4^{-3} =\frac{1}{64}

b)

\frac{{x^{log_{0.5}x}  } }{x} =\frac{1}{64} \\x^{log_{0.5}x=\frac{x}{64}\\\\

Ответ дал: Universalka
1

1)2log_{4}^{2}x+5log_{4}x-3=0\\\\ODZ:x>0\\\\log_{4} x=m\\\\2m^{2}+5m-3=0\\\\D=5^{2}-4*2*(-3)=25+24=49=7^{2}\\\\m_{1}=\frac{-5-7}{4}=-3\\\\m_{2}=\frac{-5+7}{4}=\frac{1}{2} \\\\1)log_{4}x=-3\\\\x_{1}=4^{-3}=\frac{1}{4^{3}}=\frac{1}{64}\\\\2)log_{4} x=\frac{1}{2}\\\\x_{2}=4^{\frac{1}{2}}=\sqrt{4}=2\\\\Otvet:\boxed{\frac{1}{64}; \ 2}

2)x^{log_{0,5}x-1}=\frac{1}{64}\\\\ODZ:x>0\\\\log_{0,5}x^{log_{0,5}x-1}=log_{0,5}\frac{1}{64}\\\\(log_{0,5}x-1)*log_{0,5}=6\\\\log_{0,5}^{2}x-log_{0,5}x-6=0\\\\log_{0,5}x=m\\\\m^{2}-m-6=0\\\\m_{1}=-2\\\\m_{2}=3-teorema \ Vieta\\\\1)log_{0,5}x=-2\\\\x_{1}=(0,5)^{-2} =(\frac{1}{2} )^{-2}=2^{2}=4\\\\2)log_{0,5}x=3\\\\x_{2}=0,5^{3}=0,125\\\\Otvet:\boxed{4; \ 0,125}

Вас заинтересует