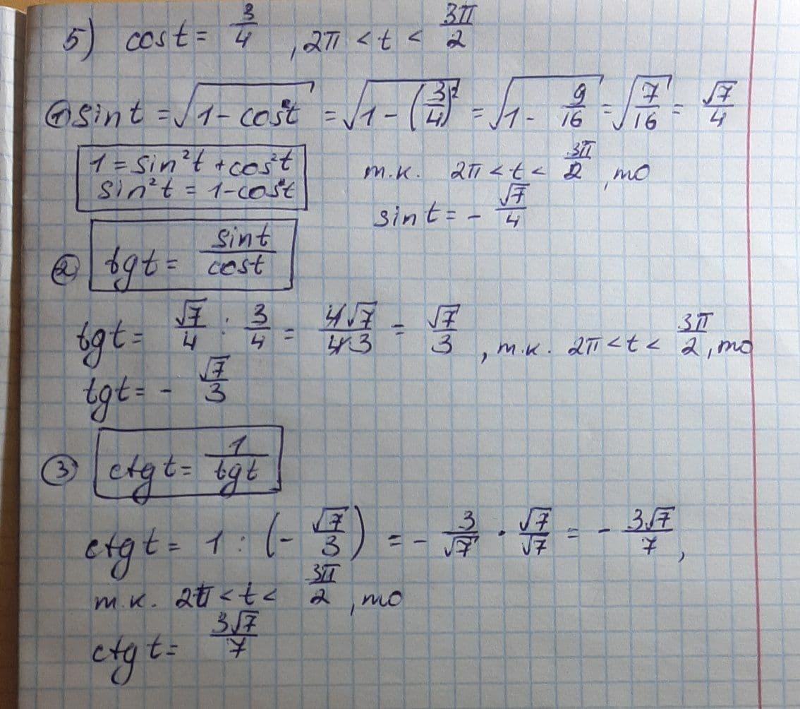
Известно, что cost = 3/4, 2пи
Вычислите sint, tgt, ctgt.
Решение с объяснением пожалуйста (если это возможно)
Приложения:

Ответы
Ответ дал:
0
Ответ прикрепил на фото ниже
Приложения:

Вас заинтересует
2 года назад
2 года назад
7 лет назад
9 лет назад