• Предмет: Математика
  • Автор: dmlosk26
  • Вопрос задан 3 года назад

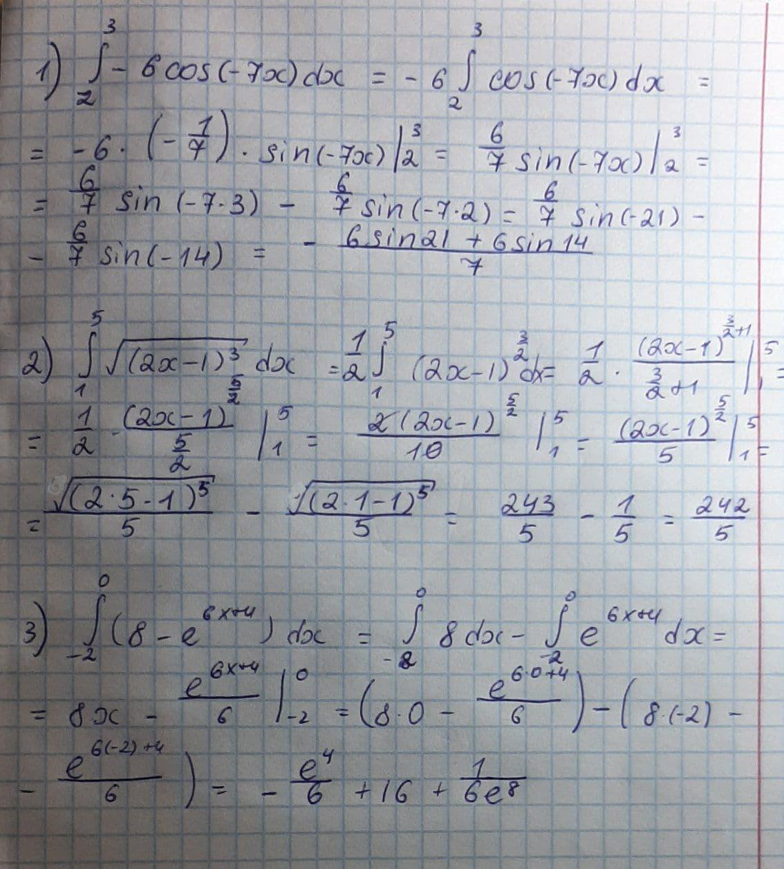
Пожалуйста, методом постановки!!! Срочно интегралы​

Приложения:

Ответы

Ответ дал: sobakazabiyaka
1

Ответ прикрепил на фото ниже

Приложения:

dmlosk26: мне нужно чтобы после первого равно тип ставятся полоски и пишут, что значит v, u, du, dv, закрывают и уже решение идёт, можете так сделать? пожалуйста нужен зачет
Вас заинтересует